Víctor A. Cepeda–Tovar; Lorena Farías–Cepeda; Anilú Rubio–Ríos*; Aidé Sáenz–Galindo
Universidad Autónoma de Coahuila, Facultad de Ciencias Químicas., Ing. José Cárdenas Valdez esquina Boulevard Venustiano Carranza S/N. C.P. 25280, Col. República; Saltillo, Coahuila, México. Correo electrónico: a.rubio@uadec.edu.mx
Recibido: Mayo 2019; Aceptado: Junio 2019
Texto completo (pdf)
Cita (APA)
Cepeda–Tovar, V. A., Farías–Cepeda, L., Rubio–Ríos, A., Sáenz–Galindo, A. (2019). Estudio de la polimerización en emulsión empleando mirceno como monómero natural. Revista Iberoamericana de Polímeros, 20(4), 146-155.
RESUMEN
En la mayoría de los procesos industriales se emplean diferentes tipos de materiales poliméricos sintéticos que cumplen con las funciones para las cuales fueron diseñados, sin embargo, dañan y deterioran al medio ambiente; una alternativa simple pero confiable es la búsqueda de técnicas que mejoren la calidad de los productos y que sean procesos más verdes, como lo es la polimerización en emulsión. Muchos investigadores han desarrollado metodologías aún más amigables con el medio ambiente al utilizar monómeros de fuentes naturales en la polimerización en emulsión, como los terpenos que gracias a ellos ha disminuido del uso de monómeros de fuente fósil. La presente revisión se encuentra centrada en el uso del mirceno o β–mirceno como monómero natural en la polimerización en emulsión o heterogénea.
ABSTRACT
In most industrial processes different types of synthetic polymer materials are used that fulfill the functions for which they were designed, however, they damage and deteriorate the environment; a simple but reliable alternative is the search for techniques that improve the quality of the products and that are greener processes, such as emulsion polymerization. Many researchers have developed methodologies that are even more environmentally friendly when using monomers from natural sources in emulsion polymerization, such as terpenes that have reduced the use of fossil–source monomers thanks to them. The present review is focused on the use of myrcene or β–myrcene as a natural monomer in emulsion or heterogeneous polymerization.
INTRODUCCIÓN
Hoy en día se han desarrollado nuevas y diferentes técnicas empleando materiales poliméricos de origen natural, estos materiales son llamados “polímeros naturales”. Han sido de gran importancia y relevancia, debido a que son compuestos benéficos con el medio ambiente; esto conlleva a que es posible obtener fuentes inagotables de productos de origen natural con grandes ventajas, como lo son, la reducción de agentes contaminantes en la atmósfera, suplementos de carácter alimenticio, e incluso de uso medicinal.
La importancia de la obtención de materiales de origen vegetal radica en la disponibilidad en la naturaleza, además de sus funcionalidades químicas fácilmente utilizables y las propiedades que imparten a los polímeros, como hidrofobicidad, bioactividad y cristalinidad líquida, incluyendo en las metodologías de síntesis una variedad de técnicas y reacciones de acoplamiento.
Un compuesto que puede ser utilizado de manera natural es el mirceno, el cual es un monoterpeno acíclico (no presenta estructuras hidrocarbonadas en forma de ciclos), y puede presentar ciertas ventajas sobre otros monómeros naturales ya que es fácilmente polimerízable [1].
El β–mirceno tiene tres enlaces altamente reactivos, de los cuales hay un enlace conjugado. Actualmente el β–mirceno se ha utilizado para la producción de materiales de origen natural (biopolímeros), principalmente elastómeros (Figura 1).
La ruta de síntesis que también es amigable con el medio ambiente es la polimerización en emulsión, donde el monómero se encuentra disperso en un medio acuoso con ayuda de un surfactante y agitación, una característica fundamental de la polimerización en emulsión es que los radicales se generan en la fase acuosa pero la polimerización se lleva a cabo en el interior de las partículas de polímero. Las partículas de polímero se forman a partir de las micelas de tensoactivo hinchadas con monómero cuando estas capturan un radical (nucleación micelar o heterogénea). A las partículas de polímero dispersas en agua se les conoce como látex o dispersiones poliméricas. La polimerización emulsión presenta algunas variantes como, por ejemplo, la polimerización en micro–emulsión [1].
El objetivo de la presente revisión es exponer el estado del arte de la polimerización en emulsión del mirceno, ya sea que se utilice solo o copolimerizado con otro monómero sintético.

ANTECEDENTES
El uso del β–mirceno, como monómero natural es empleado en la fabricación de materiales elastoméricos (compuestos que presentan la capacidad de estirarse y regresar a su forma original, al retirar la fuerza de deformación), con ciertas características biológicas (como su efecto en contacto con la célula) [2].
El mirceno (Figura 1), es de la familia de los terpenos y estas moléculas orgánicas están presentes en varias plantas y, debido al fuerte olor y la actividad biológica, se usan principalmente como fragancias en perfumería y materiales farmacéuticos, pero también se emplean como aditivos para alimentos o pesticidas agrícolas [3]. La estructura de los terpenos es muy parecida a la del isopreno, que también es un monómero natural y que se utiliza para la producción del caucho sintético [4].
Los terpenos tienen dobles enlaces, en algunos casos con una posible actividad de polimerización. A pesar de que hay muchos terpenos diferentes, hasta ahora solo unos pocos han sido polimerizados, y la posibilidad de una polimerización controlada es aún más limitada. El mirceno es un monoterpeno simple, un componente del aceite esencial de gran variedad de plantas silvestres como el laurel, ylang–ylang, tomillo silvestre, hierba de limón, la bahía, el cannabis, el perejil, el lúpulo y baya de enebro [5].
La importancia de los polímeros formados a partir de mirceno, se basan no solo en su origen por ser un compuesto renovable, sino también en sus aplicaciones potenciales. Estas aplicaciones se pueden lograr por funcionalización del doble enlace conjugado que contiene [6].
El polimirceno puro es de gran empleo en aplicaciones biomédicas como en la neuro–protección, en la regeneración de tejidos y reparación de heridas. El empleo de este compuesto de fuente natural se refiere a composiciones aisladas de goma de masilla (goma natural) debido a su modo terapéutico. Particularmente, esta aplicación se refiere a composiciones que comprenden una fracción aislada de mirceno polimérico y formulaciones que mantienen la actividad biológica del polímero activo [7].
Recientemente Wilbon y Tang [8]; establecieron la ruta de síntesis para polímeros de alto peso molecular a partir de compuestos monoméricos de fuentes naturales, como el mirceno, observando que tan factible resulta llevar a cabo polimerizaciones con agentes catiónicos y radicales libres, para polímeros y mezclas de copolímeros a partir de compuestos llamados terpenos.
Martí [9]; se enfocó en la síntesis de polimirceno y de copolímeros mirceno–estireno (My–St) mediante técnicas de copolimerización vía radicales libres y por polimerización en solución y suspensión. Mediante polimerización en solución la conversión de polímero disminuía al aumentar el contenido de mirceno en el copolímero, ellos se lo atribuyen a que no removieren correctamente el inhibidor del mirceno o que el polimerceno es soluble en etanol y se poder al lavar el polímero, mediante resonancia magnética nuclear (RMN) pudieron detectar la presencia de mirceno en el copolímero y una configuración al azar, desgraciadamente el material era demasiado frágil para formar probetas para evaluar propiedades mecánicas. A diferencia del material sintetizado mediante polimerización en suspensión; mediante esta técnica utilizaron almidón, y el producto obtenido lo mezcló con poliestireno de alto impacto por sus siglas en inglés (HIPS) y acrilonitrilo butadieno estireno (ABS), y posteriormente evaluaron sus propiedades mecánicas.
Kobayashi et al. [10], repararon poli (3–metileneciclopenteno) a partir del mirceno mediante una combinación de cierre de anillo realizada por metátesis (utilizando catalizadores de Grubbs de segunda generación), vía radiales libres, catiónica y aniónica. La polimerización aniónica la llevó a cabo en ciclohexano como disolvente y butil–litio como catalizador, encontrando buenos rendimientos con distribución de pesos moleculares estrecha y el peso molecular predecible con la relación de mirceno y butil–litio. La polimerización por radicales libres, la realizaron utilizando azobisisobutironitrilo (AIBN) como iniciador. Mediante RMN encontraron que tanto los polímeros sintetizados mediante radicales libres y aniónica presentaron estereoregularidad y mediante DSC que son semicristalinos.
Por otro lado, Liu et al. [11], llevaron a cabo la polimerización de β–mirceno vía radicales libres utilizando un catalizador del tipo catiónico, el cual presenta gran actividad, y también lo copolimerizaron con isopreno generando nuevos materiales elastoméricos.
Choi y Ritter [12], reportaron la homopolimerización y copolimerización de un complejo de β–ciclodextrina/mirceno con di–etil fumarato y estireno en medio acuoso utilizando un iniciador redox a temperatura ambiente. Ellos encontraron que el mirceno por sí solo no polimeriza en las condiciones que utilizaron. Los homo y co–polímeros sintetizados utilizando el complejo de β–ciclodextrina/mirceno fueron solubles en agua, mediante RMN encontraron el polimirceno sintetizado presentaba estructuras cis y trans pero no pudieron determinar la relación entre éstas.
Zhao y Schlaad [13], estudiaron la síntesis mediante polimerización y copolimerización por emulsión de mirceno para la producción de cauchos sintéticos. También mediante polimerización en emulsión, se han logrado obtener elastómeros basados en β–mirceno y estireno (St), los cuales presentan un comportamiento de fluido pseudoplástico, garantizando buenos resultados con el aumento de la temperatura de degradación (Td), y una temperatura de transición vítrea (Tg) por debajo de los 0°C [14].
La polimerización en emulsión es uno de los procesos más importantes que se han desarrollado para la producción de polímeros en general, ya que se utiliza para la producción de adhesivos, pinturas, recubrimientos de madera, cerámica, etc., pero también tienen aplicaciones en biomedicina y otras áreas [15–18].
Mediante esta técnica de polimerización se logran polímeros con elevado peso molecular, a velocidades de polimerización elevadas, en comparación con varios métodos de polimerización. Es ambientalmente amigable porque utiliza agua como medio de reacción, sin emplear grandes cantidades de compuestos orgánicos volátiles; además, puede proporcionar partículas de polímero de tamaño nano y sub–micrométrico, que han recibido una atención significativa como materiales particulados [19–22].
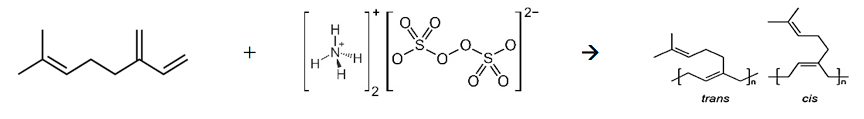
Polimerización en emulsión del β–mirceno. Sarkar y Bhowmick [23], estudiaron la polimerización en emulsión el b–mirceno utilizando como iniciadores persulfato de amonio (APS) y un sistema redox, y dodecíl sulfato de sodio como tensoactivo (Figura 2). Para sus condiciones optimizadas (70°C y 20 horas) el polimirceno sintetizado tuvo pesos moléculas mayores a 92,860 Da y una temperatura de transición vítrea de –73°C. Mediante RMN encontraron que polimirceno sintetizado con persulfato de amonio contenía defecto 1,2 vinil y 3,4 con una microestructura 1,4 cis y 1,4 trans. Mientras que un polímero análogo sintetizado mediante el sistema redox el peso molecular era de 109,780 Da y con una microestructura predominantemente 1,4. Mediante espectroscopia y cálculos de DFT confirmaron la participación del doble enlace conjugado en la polimerización mientras que el otro doble enlace se conserva como se muestra en la Figura 2, mediante mediciones de viscosidad determinaron un comportamiento pseudoplástico de los polímeros sintetizados. Dadas las características de los polimircenos sintetizados, es decir polímeros amorfos, su temperatura de transición vítrea y estabilidad térmica son similares a la de otros elastómeros por esta razón podrían ser utilizados como elastómeros bio–basados.

Johanson et al. [24], realizaron la síntesis de elastómeros de mirceno, 2–metil–6–metilen–2,7–octadieno, derivados de la terpentina mediante polimerización en emulsión. Los polímeros y copolímeros, todos los cuales eran relativamente blandos, se combinaron, molieron y vulcanizaron, y los vulcanízales se probaron para determinar la resistencia a la tracción y el alargamiento. Los polímeros obtenidos a partir de mirceno solo fueron los que presentaron las propiedades más bajas. Los copolímeros preparados a partir de mirceno y estireno tenían una resistencia a la tracción relativamente baja, generalmente de menos de 1.200 lb/in2, pero tenían una elongación final de hasta el 1.100%. Los copolímeros preparados a partir de mirceno y estireno con butadieno poseían resistencias a la tracción mucho más altas, aproximadamente 2.500 libras por pulgada cuadrada (lb/in2), con elongaciones que llegaban hasta el 500%.
Por otro lado, el mirceno es un compuesto altamente reactivo que experimenta una polimerización térmica espontánea incluso en el aire. La polimerización se inhibe eficazmente en frío (en un refrigerador), y agregando un 0,1% en peso de p–tert–butilcatecol, lo que indica que la polimerización sigue un mecanismo de radicales libres. Sin embargo, se piensa que la reacción involucra más de un modo de polimerización, aunque no se especifica más. Otra de las partes experimentales más enfatizadas que se presentan mediante polimerización, es la iniciada por peróxido de hidrógeno (H2O2), agregando mirceno en medio disperso de butanol (C4H10O), dando así una solución de polimircenos terminados en grupos OH–, dicho mecanismo presentó una considerable fracción de productos secundarios y especies con capacidad de ser dimerizadas [25].
Los polimircenos consisten de 1 a 4 unidades estructurales (Figura 3), las cuales son fácilmente comparables al poli–isopreno, esto se puede presentar debido a la baja transición vítrea temperatura (Tg), resultando por debajo de los 50°C) [26].

Por otro lado, Janeczek [27], formuló mediante polimerización emulsión cauchos a partir de b–mirceno y di–butil itaconato. Los copolímeros tenían predominantemente una microestructura 1,4–cis y trans del polimirceno, con peso molecular en el intervalo de 13.000, 330.000–64.000, 700.000 g·mol-1. Los copolímeros mostraron una temperatura de transición vítrea entre – 60,3 y –33,5°C, dependiendo del porcentaje en peso de β–mirceno. Los estudios morfológicos revelan la colocación aleatoria de las dos fases en el copolímero. Los copolímeros también mostraron una estabilidad térmica razonablemente buena con respecto a los homopolímeros individuales y el comportamiento del flujo pseudoplástico. El monitoreo de la reacción de polimerización en diferentes momentos y temperaturas reveló cinética de reacción de primer orden. La relación de reactividad de los monómeros indicó un comportamiento de copolimerización casi ideal. La simulación de dinámica molecular predijo las disposiciones espaciales de las cadenas macromoleculares y la temperatura de transición vítrea de los copolímeros, que están de acuerdo con los hallazgos experimentales. El estudio actual allanaría así un camino para sintetizar elastómeros basados en el uso de terpenos como un material sostenible del futuro.
Shau y Bhowmick [28], produjeron elastómeros de base biológica, los cuales se sintetizaron mediante polimerización en emulsión usando iniciación redox en un matraz de fondo redondo, al principio emplearon, agua destilada, oleato de potasio, y cloruro de potasio. Se añadió solución tampón de fosfato de potasio (K3PO4), donde dicha mezcla se agitó durante 15 y 20 minutos a 300 rpm. Después del tiempo establecido, tanto los compuestos obtenidos (polimirceno), se cargaron por micro pipeta en la mezcla de reacción y se nuevamente se mezclaron durante 30 minutos más para obtener una emulsión con gran estabilidad. Después de eso, se inyectaron hierro metálico y ácido etílendiamino tetra acético (Fe–EDTA) y la solución de SFS (sulfoxilato de sodio– formaldehido) en el reactor, el cual se mantuvo a una atmósfera inerte por lavado con gas nitrógeno.
El mirceno se polimerizó a través de un mecanismo de radicales libres en medios acuosos para proporcionar un poli(β–mirceno) de bajo peso molecular (Mn < 10,000 g·mol−1) a medio peso molecular (Mn hasta 90.000 g·mol–1), registrándose un total de 21 pesos moleculares. Sin embargo, los polímeros sintetizados a menudo contenían una fracción de gel insoluble y una microestructura no controlada, con solo aproximadamente el 50% de las unidades 1,4–(cis y trans) en la cadena del polímero [23,29].
Sarkar y Bhowmick [30], trabajaron en la búsqueda de fabricación de elastómeros sostenibles que tienen aplicaciones tangibles, el estudio realizado por los investigadores se basó en las características de vulcanización y refuerzo de varios elastómeros sostenibles derivados de β–mirceno, un monoterpeno de desecho de origen natural. Los elastómeros se sintetizaron mediante polimerización en emulsión. Se emplearon técnicas de procesamiento de elastómeros convencionales para la composición y vulcanización de los elastómeros sintetizados. Las características de vulcanización de los elastómeros sostenibles sintetizados son similares a las del caucho natural. La microestructura del polímero, el peso molecular y el tipo y cantidad de monómero influyen en las características de curado y en las propiedades físico–mecánicas de los vulcanizados de elastómeros.
Sarkar y Bhowmick [14], prepararon copolímeros de mirceno con una serie de compuestos metacrilatos los cuales poseen longitudes de cadena lateral muy variadas; por medio de polimerización en emulsión (Figura 4). Este enfoque verde podría ser una estrategia fácil para sintetizar elastómeros a partir de un metíl metacrilato (MMA), sintetizado a partir de este terpeno. Este tipo de copolímero metacrilato–mirceno, es similar a otros metacrilatos a base de isopreno [27,31–33].

Georges et al. [34], realizaron una co–polimerización y ter–polimerización, por medio de una reacción de coordinación por transferencia de cadena de algunos monómeros, entre ellos el β–mirceno. Las copolimerizaciones coordinadas de transferencia de cadena de mirceno, isopreno y estireno, se han podido sintetizar por medio del pentametilciclopentadienilo (C10H16), combinado con di–alquilo de magnesio o di–alquilo de aluminio. Se han obtenido nuevos copolímeros de poli (mirceno–co–estireno), poli (mirceno–co–isopreno), ambos altamente estereorregulares y poli (mirceno–co–isopreno–co–estireno), con buenos rendimientos y una amplia gama de composiciones. El concepto de polimerización por transferencia de cadena coordinada (CCTP), inducida por el control de la microestructura de los copolímeros estadísticos podría extenderse con éxito a 1,4 di–enos conjugados, copolimerización y ter–polimerización estadística y a un monómero renovable.
Bolton et al. [35], prepararon un elastómero termoplástico a base de α–metíl–p–metilestireno y β–mirceno mediante el método de polimerización aniónica viva. Aunque las investigaciones anteriores muestran un asunto de vanguardia en el desarrollo de un polímero basado en β–mirceno, desde un punto de y sostenibilidad, solo algunos de ellos podrían traducirse en un marco de producción industrial fabricación.
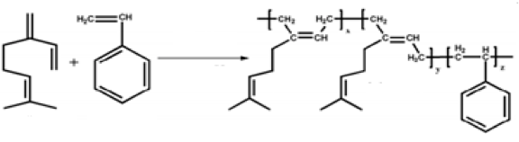
En el intento de hacer materiales de goma sostenible, Sakar y Bhowmick [14], exploraron en el uso de β–mirceno como un componente renovable en lugar de 1,3–butadieno. A pesar de la creciente conciencia con respecto a la sostenibilidad; ellos reemplazaron el 1,3 butadieno derivado del petróleo por alternativas sostenibles, explorando este nicho de oportunidad en el área de la ciencia y la tecnología de los elastómeros. Además de ser un suplemento benigno, el estado físico líquido de β–mirceno ofrece una ventaja adicional sobre el 1,3 butadieno gaseoso, durante el almacenamiento y la manipulación, lo que hace que toda la operación de polimerización requiera menos energía. Por lo que en este trabajo se informó de una serie de copolímeros basados a partir de los monómeros β–mirceno y estireno, produciendo así un copolímero poli(estireno–co–mirceno), por el método de polimerización en emulsión (Figura 5). Los materiales resultantes de la síntesis son similares al caucho de 1,3–butadieno–estireno convencional. En el contexto de la sostenibilidad, este tipo de caucho a base de terpeno podría ser un material auxiliar con propiedades mejoradas en diversas aplicaciones. Cabe mencionar que los autores realizaron un análisis de la estructura química de los polímeros sintetizados, la cual se determinó mediante mediciones espectroscópicas. Además, también se determinó la relación de reactividad de cada uno de los monómeros. Al final propusieron un mecanismo de reacción probable. Mientras que el elastómero fabricado de base biológica podría procesarse y reticularse fácilmente mediante este método; empleando los equipos de procesamiento de caucho convencionales. Finalmente determinaron varias propiedades físico–mecánicas tales como la dureza, la densidad de reticulación y resistencia a la tracción.

CONCLUSIONES
Cabe resaltar, la polimerización en emulsión es un proceso amigable con el medio ambiente, la cual brinda grandes oportunidades para la producción de materiales de origen natural, como lo son los empleados en acabados, pinturas, adhesivos e incluso recubrimientos.
Hoy en día, es una excelente alternativa el impulsar la creación de nuevos productos que estén fabricados a partir de fuentes de origen renovable o simplemente recursos que la misma naturaleza nos provee. Es sin duda una mejora continua el uso de terpenos; el mirceno, que ha sido empleado y aplicado en numerosos métodos de reacción, ha presentado resultados favorables de acuerdo a lo obtenido descrito anteriormente; es muy pronto por lo que se está profundizando el uso de monómeros de este tipo, el cual es sin duda un comienzo en el estudio de la polimerización en medio heterogéneo.
Agradecimientos. Agradecemos al Consejo Nacional de Ciencia y Tecnología (CONACYT), por la beca otorgada, a la Universidad Autónoma de Coahuila (UAdeC) y por supuesto a la Facultad de Ciencias Químicas, (FCQ) por el apoyo brindado para la revisión de este artículo.
BIBLIOGRAFÍA
[1] Sarkar P., Bhowmick A. K., J. Appl. Polym. Sci..135 (24), 45701 (2018)
[3] Gonzalez–Burgos E. Gomez–Serranillos M.P., Curr. Med. Chem. 19, 5319 (2012)
[5] Behr A., Johnen L., Chem Sus Chem. 2, p. 1072 (2009)
[7] Hazan Z, Amselem S “Compositions of Polymeric Myrcene”, US20120039992 and WO2010100651 A2. (2014)
[8] Wilbon PA, Chu F, Tang C, Macromol. Rapid Commun., 34, 8 (2013)
[10] Kobayashi S, Lu C, Hoye TR, Hillmyer MA, Journal of ACS, 131, 60 (2009)
[11] Liu B., Li L., Sun G., Liu D., Li S., Cui D.Chem. Commun. 51, p. 1039–1041 (2015)
[12] Choi SW., Ritter H., e–Polymers, 45, 1, p.79–113 (2007)
[13] Zhao J. Schlaad H. Adv Polym Sci 253, p. 151–190 (2012)
[14] Sarkar P., Bhowmick A.K., ACS Sustainable Chemistry & Engineering 2016, 4(10), p. 5462–5474 (2016)
[15] Jovanovic R, Dube MA, J. Macromol. Sci., Polym. Rev. 44, p. 1−51 (2004)
[16] Bellamine A, Degrandi E, Gerst M, Stark R, Beyers C, Creton C, Macromol. Mater. Eng., 296, 31(2011)
[17] Butler LN, Fellows CM, Gilbert RG, Prog. Org. Coat. 53, p. 112−118 (2005)
[18] England D, Tambe N, Texter J, ACS Macro Lett.1, p. 310−314 (2012)
[19] Seijo B, Fattal E, Roblottreupel L, Couvreur P, Int. J. Pharm. 62, p. 1−7 (1990)
[20] Nandiyanto ABD, Suhendi A, Ogi T, Iwaki T, Okuyama K, Colloids Surf. A, 396, p. 96−105 (2012)
[21] Peng J.R., Qi T.T., Liao J.F., Fan M., Luo F., Li H., Qian Z.Y. Nanoscale, 4, p. 2694−2704 (2012)
[22] Matsusaka N., Suzuki T., Okubo M., Polym. J., 45, p. 153−159 (2013)
[23] Sarkar P., Bhowmick A.K., RSC Adv., 4, p. 61343-61354. (2014)
[24] Johanson AJ, McKennon FL, Goldblatt LA, Ind. Eng. Chem. 40(3), 500 (1948)
[25] Runckel WJ, Goldblatt LA, Ind Eng Chem, p. 38–749 (1946)
[26] Cawse JL, Stanford JL, Still RH, J. Appl. Polym. Sci,. p. 33–2217 (1987)
[27] Janeczek J.H., Polym. Sci. Part A: Polym. Chem., 44, 1086 (2006)
[28] Shau P, Bhowmick A.K. J. Polymer Sci., Part A: Polym Chem, 57(6), 738 (2019)
[30] Sarkar P., Bhowmick A.K. Ind & Eng Chem Research, 57(15), p. 5197–5206 (2018)
[31] Long T.E., Broske A.D., Bradley D.J., McGrath J. Polym. Sci. Part A: Polym. Chem., 27, 4001 (1989)
[32] Ebdon JR, Gabbott NP, Polymer, 24, 565 (1983)
[33] Ban HT, Kase T, Tsunogae YT, Macromolecules, 33, 6907 (2000)
[34] Georges S, Toure AO, Visseaux M, Zinck P, Macromolecules, 47, 4538 (2014)
[35] Bolton JM, Hillmyer MA, Hoye TR, ACS Macro Lett, 3, 717 (2014)
