Walber A. do Nascimento1*,Henriqueta P. da Silva1, Pankaj Agrawal2, Jéssica C. C. Lima2, Tomás J. A. de Melo2, Hélio de L. Lira2
1) Faculdade de Engenharia Mecânica, Universidade Federal do Pará, Tucuruí, Brasil. E–mail: wan@ufpa.com.
2) Departamento de Engenharia de Materiais, Universidade Federal de Campina Grande, Campina Grande, Brasil.
Enviado: Abril 2020; Aceptado: Junio 2020
Texto completo (pdf)
Cita (APA)
do Nascimento, W. A., da Silva, H. P., Agrawal, P., Lima, J. C. C., de Melo, T. J. A., Lira, H. L., (2020). Correlação entre propriedades mecânicas, reológicas e morfológicas de blendas PP/PA6 com adição de compatibilizantes. Revista Iberoamericana de Polímeros, 21(4), 144-154.
RESUMO
As correlações entre as propriedades mecânicas, reológicas e morfológicas de blendas de PP/PA6 misturadas a diferentes compatibilizantes reativos foram investigadas. Em particular, três tipos de compatibilizantes foram utilizados: PPgMA, PPgAA e EGMA. Esses copolímeros foram adicionados a blenda PP/PA6 por processamento reativo. Foram utilizadas duas etapas para realização da pesquisa. A primeira etapa avaliou–se a influência da PA6 na blenda, foram utilizadas composições de 20–50% de PA6 em peso. Na segunda etapa foi selecionada uma blenda que apresentou propriedades mecânicas intermediárias as demais para avaliar o efeito dos copolímeros (compatibilizantes) citados anteriormente. Nas duas etapas desse trabalho foi utilizada uma extrusora de dupla rosca contra–rotacional para realizar todas as misturas com posterior injeção dos corpos de prova e realizados ensaios mecânicos de tração e impacto. O estudo reológico foi realizado, por reometria oscilatória em regime viscoelástico linear, a partir de amostras dos corpos de prova injetados. A avaliação morfológica foi feita por MEV através da observação da superfície de fratura dos corpos de prova de impacto. Os resultados apresentaram uma boa correlação entre as propriedades mecânicas, reológicas e morfológicas das blendas binárias e ternárias formuladas.
ABSTRACT
The correlations between the mechanical, rheological and morphological properties of PP / PA6 blends mixed with different reactive compatibilizers were investigated. In particular, three types of compatibilizers were used: PP–g–MA, PP–g–AA and E–GMA. These copolymers were added to the PP / PA6 blend by reactive processing. Two steps were used to carry out the research. The first stage evaluated the influence of PA6 in the blend, compositions of 20–50% of PA6 by weight were used. In the second stage, a blend was selected that had intermediate mechanical properties the others to evaluate the effect of the copolymers (compatibilizers) mentioned above. In the two stages of this work, a counter–rotational double screw extruder was used to perform all mixtures with subsequent injection of the specimens and mechanical tensile and impact tests were performed. The rheological study was performed, using oscillatory rheometry in a linear viscoelastic regime, from samples of the injected specimens. The morphological evaluation was made by SEM through the observation of the fracture surface of the impact specimens. The results showed a good correlation between the mechanical, rheological and morphological properties of the formulated binary and ternary blends.
INTRODUÇÃO
Nas últimas décadas blendas de polipropileno (PP) com poliamida 6 (PA6) tem sido bastante estudadas. A necessidade de unir principalmente as propriedades tenacificantes do PP com a elevada rigidez da PA6 levam vários pesquisadores a estudar formas de criar blendas com características intermediárias desses polímeros. A pobre adesão interfacial entre o PP e PA6 dificulta o processamento pelos métodos convencionais, como extrusão e injeção, principalmente devido a imiscibilidade entre eles. Umas das formas de melhorar a adesão interfacial entre a matriz e a fase dispersa é a utilização de agentes compatibilizantes que tenham afinidades física e química entre os polímeros, formando assim uma “ponte” e propiciando uma evolução, em muitos casos, das propriedades mecânicas (resistência ao impacto e/ou rigidez) da blenda [1–4].
A incorporação de agentes compatibilizantes em blendas de PP/PA6 foram estudadas por Gróf et al. [1]. Os autores investigaram as propriedades de fibras preparadas com PP/PA6 utilizando o copolímero PPgMA (polipropileno enxertado com anidrido maléico) como agente compatibilizante, variando as composições da fase dispersa (PA6) de 20–80% em peso, utilizando MEV, FTIR, DRX, SALS e DSC para caracterizar as blendas. Os autores concluíram que a PA6 aumentou a cristalinidade do PP favorecendo uma melhor orientação das fibras e que a presença do PPgMA melhorou a miscibilidade entre os componentes, o processamento e as propriedades das fibras produzidas.
Tjong [4] estudou o efeito da compatibilização de PP/PA6, utilizando PPgMA, nas propriedades mecânicas da blenda formada. Três composições foram elaboradas para blenda PP/PA6 80:20, 50:50 e 20:80 e preparadas por extrusora dupla rosca seguida de moldagem por injeção dos corpos de prova para realização dos ensaios de impacto. Foi caracterizada a superfície de fratura dos corpos de prova por MEV. O autor concluiu que houve um aumento do módulo Young, resistência a tração e resistência ao impacto com o aumento da concentração de PA6 na blenda. Segundo Ele, esse aumento nas propriedades mecânicas (resistência ao impacto) ocorreu devido ao efeito de “descolamento” por cavitação das partículas de PA6 na matriz de PP.
Alguns pesquisadores estudaram o efeito de outros compatibilizantes em blendas contendo PA6 como fase dispersa [5–7]. Nos trabalhos apresentados pelos autores os compatibilizantes, principalmente apresentando AA (ácido acrílico), MA (anidrido maléico), GMA (metacrilato de glicidila) como fase polar, foram utilizados para aumentar a compatibilidade entre as fases imiscíveis de blendas contendo como matriz o PEBD (polietileno de baixa densidade). Em todos os casos os agentes compatibilizantes melhoraram a adesão com a PA6 devido a uma interação mais forte dos os grupos amina e amida desse polímero com os compatibilizantes. Os autores verificaram que nem todos os compatibilizantes estudados apresentaram uma boa afinidade química com o PEBD, como por exemplo, o EGMA, mas apenas uma afinidade física aderente.
Neste trabalho, estudaram–se blendas de PP/PA6 em várias composições ao qual foi divido em duas etapas. A primeira etapa verificou–se a influência da PA6 na formulação de blendas PP/PA6. Na segunda etapa foi analisada a influência de compatibilizantes reativos (PPgMA, PPgAA e PPgEGMA) na blenda PP/PA6 com 30% em peso de PA6. A finalidade desse estudo foi de correlacionar as propriedades mecânicas, reológicas e morfológicas entre as blendas binárias PP/PA6 e ternárias PP/PA6/compatibilizantes.
MATERIAIS E MÉTODOS
Materiais. Como matriz polimérica foi utilizado o polipropileno (PP), homopolímero, código H503, em grânulos, IF = 3,5 g/10 min (2,16 kg/230°C – ASTMD–1238–L), fabricado pela Braskem S.A/BA.
– Como fase polimérica dispersa foi utilizada a Poliamida 6 (PA6) Technil C216 natural de médio massa molar (M = 10.500 g/mol), IV=134 mL/g fornecida pela Rhodia/SP.
– Copolímero etileno metacrilato de glicidila (EGMA), contendo 8,0% de metacrilato de glicidila, Lotader® AX 8840 (IF= 5 g/10 min), densidade de 0,94 g/cm3, módulo de Young (E = 104 MPa), fornecido pela Arkema/SP.
– O polipropileno enxertado com anidrido maléico (PPgMA), polybond 3200, IF = 110 g/10 min, concentração de anidrido: 2,7% em peso, fabricado pela Uniroyal Chemical e fornecido pela Crompton.
– Polipropileno enxertado com ácido acrílico (PPgAA) polybond 1001, IF = 40 g/10 min, 6% em peso de ácido, fabricado pela Uniroyal Chemical e fornecido pela Crompton.
MÉTODOS
Preparação das Blendas. Blendas binárias. As blendas binárias de polipropileno e poliamida 6 (PP/PA6) foram processadas em extrusora com rosca dupla cônica contrarrotacional, acoplada a um reômetro de torque System 90 da Haake–Blucher. Antes da extrusão das composições os materiais foram secos na temperatura de 80°C/24 h em estufa a vácuo. As seguintes condições de extrusão foram utilizadas: temperatura do cilindro de 180/240/240/240/240ºC (da alimentação à matriz), velocidades de rotação da rosca de 60 rpm e alimentação constante. Nesta primeira etapa foi avaliada a influência da concentração da fase dispersa de PA6 em 20, 30, 40, e 50% em peso no desenvolvimento das blendas PP/PA6 apresentadas na Tabela 1. O material resultante foi granulado e seco em estufa sob vácuo a 80°C por 24 horas e acondicionado em dessecador. O polipropileno puro foi extrusado nas mesmas condições das blendas PP/PA6 para servir de referência.
| Composições | PP (%) | PA6 (%) |
| PP/PA6 20 | 80 | 20 |
| PP/PA6 30 | 70 | 30 |
| PP/PA6 40 | 60 | 40 |
| PP/PA6 50 | 50 | 50 |
Blendas ternárias. As blendas ternárias PP/PA6/Compatibilizantes foram extrusadas nas mesmas condições descritas anteriormente. Foi escolhida a composição PP/PA6 30, utilizada na 1ª etapa, para estudar a influência dos compatibilizantes em função desta blenda apresentar propriedades intermediárias à das blendas binárias. O material resultante foi granulado e também seco em estufa a vácuo a 80°C/24 h e acondicionado em dessecador.
| Composições | PP (%) | PA6 (%) | Compatibilizantes (%) |
| PP/PA6/PPgMA | 55 | 30 | 15 PPgMA |
| PP/PA6/PPgAA | 55 | 30 | 15 PPgAA |
| PP/PA6/EGMA | 55 | 30 | 15 EGMA |
Moldagem das Amostras. As blendas binárias e ternárias e o polipropileno puro processados na extrusora foram moldados por injeção, na forma de corpos de prova de tração e impacto, segundo as normas ASTM D638 e D256, respectivamente.Na moldagem por injeção, foi utilizada uma injetora modelo Fluidmec 30/40.
CARACTERIZAÇÕES
Ensaios Mecânicos de Tração e Impacto. Os ensaios de tração foram realizados em um equipamento de ensaios universal da Shimadzu, operando a uma velocidade de 50 mm/min, de acordo com a norma ASTM D 638. Os ensaios de resistência ao impacto IZOD foram realizados em equipamento do tipo RESIL 5,5 da CEAST e pêndulo de 2,75J, de acordo com a norma ASTM D 256. Os entalhes de 2,5 mm foram feitos em um entalhador NOTSCHVIS da CEAST.
Reometria Oscilatória em Regime Viscoelástico Linear. Foi utilizado um reômetro oscilatório Anton–Paar MCR301 para estudar o comportamento reológico das blendas na temperatura de 240°C sob frequências de 0,1 a 100 rad/s. O limite de viscoelasticidade linear foi determinado à 10% de deformação a uma frequência de 10 rad/s. As análises foram realizadas a partir de amostras retiradas dos corpos de prova injetados.
Microscopia eletrônica de varredura (MEV). A análise morfológica foi realizada na superfície de fratura dos corpos de prova submetidos ao ensaio de impacto em um microscópio eletrônico de varredura, Shimadzu SSX–550 Superscan, a uma voltagem de 15 kV, sob alto vácuo. As superfícies de fratura das amostras entalhadas foram recobertas com ouro e analisadas no MEV.
RESULTADOS E DISCUSSÃO
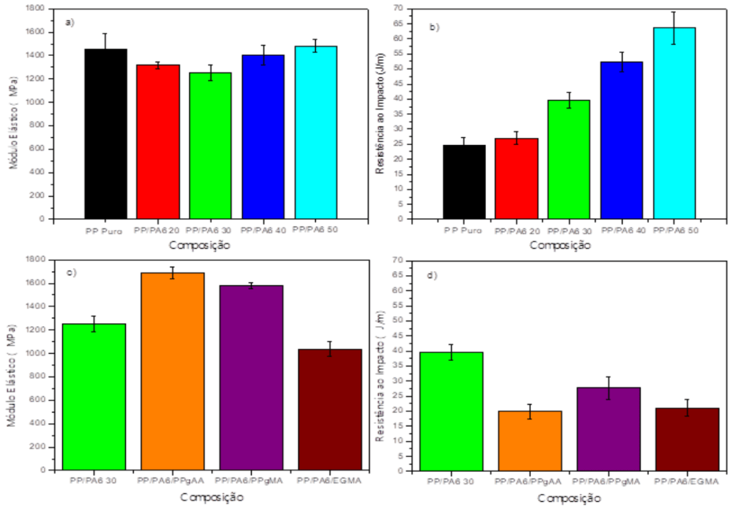
Nas Figuras 1 a) até 1 d) encontram–se os resultados das propriedades mecânicas do polipropileno puro (PP), das blendas binárias (PP/PA 20, PP/PA6 30, PP/PA6 40, PP/PA6 50) e ternárias (PP/PA6/PPgMA, PP/PA6/PPgAA e PP/PA6/EGMA). Observa–se na Figura 1 a) que o módulo elástico das blendas, comparando com o polipropileno puro, apresentou uma relativa tendência de redução da rigidez até a concentração de 30% em peso de PA6 e, logo depois, um aumento até a composição com 50% de PA6 que apresentou valor superior ao PP puro. Este comportamento pode ser explicado devido aos polímeros PP e PA6 serem imiscíveis formando um sistema bifásico com uma interface fraca entre as fases, conforme pode ser observado por meio da morfologia apresentada nas Figuras 4 a) a 4 e), e na investigação de outro trabalho [9].
Até a blenda PP/PA6 30 a rigidez dos sistemas foi afetada pela má adesão entre as fases, ou seja, existe pouca ou nenhuma interação física/química na interface. Porém, quando a concentração ultrapassou um valor limite, neste caso em 30% de PA6, ocorreu um aumento gradativo da rigidez devido ao maior teor de poliamida que naturalmente apresenta uma rigidez mais acentuada, principalmente, devido à sua estrutura química. Isto sugere que a rigidez de blendas imiscíveis pode estar relacionada ao efeito competitivo entre a qualidade da interface e o teor do polímero que apresenta maior rigidez (módulo).

Na Figura 1 b) observa–se um significativo aumento da resistência ao impacto da blenda com o aumento do teor de PA6, chegando a quase triplicar o valor desta propriedade com a concentração de 50% de poliamida em relação a PP puro. Este aumento pode estar relacionado à morfologia desenvolvida nos sistemas com concentrações a partir de 30% de PA6 (ver Figuras 4b a 4e) que apresentou a presença de “gotas” e/ou “fibrilas/fitas” e que possivelmente dificultou a propagação da trinca induzida no ensaio de impacto [10]. A co–continuidade de fases e também o fenômeno de cavitação (nas “gotas”) pode também ter ajudado sinergicamente nesse efeito de absorção de energia no ensaio de impacto [2,11,12]. Observa–se na Figura 1 c) que o módulo elástico das composições PP/PA6/PPgAA e PP/PA6/PPgMA foram mais elevadas que a da blenda PP/PA6 30 e PP/PA6/EGMA o que indica que a reação ocorrida no processo de mistura foi mais eficiente, ou seja, a compatibilização nessas duas composições apresentou maior eficiência. Verifica–se que o compatibilizante EGMA, por ser um copolímero flexível com baixa rigidez, pode ter corroborado na redução do módulo elástico da blenda PP/PA6/EGMA [5,7]. Na Figura 1 d) a resistência ao impacto apresentou maior valor para a blenda PP/PA6/PPgMA em relação as outras blendas ternárias, indicando melhor desempenho com este tipo de compatibilizante apesar do valor ter sido relativamente menor que o da blenda PP/PA6 30.

Nas Figuras 2 a) e 2 b) estão apresentadas os resultados ensaio de reometria oscilatória em regime viscoelástico linear do PP puro e blendas de PP contendo 20, 30, 40 e 50% em peso de PA6. Observa–se que a viscosidade das blendas PP/PA6 20 e PP/PA6 30 a baixas frequências angulares são superiores ao do PP puro. Provavelmente em concentrações menores de PA6 as “fibrilas e gotas” formadas favoreceram o aumento da viscosidade em frequências menores devido ao aumento da área interfacial resultante do desenvolvimento de uma morfologia bifásica, em que a PA6 formou uma fase dispersa constituída por partículas com tamanhos variados acima de 2 μm (Figuras 4b e 4c) [13]. Para as blendas PP/PA6 40 e PP/PA6 50 ocorre o contrário, como os dois polímeros são quimicamente incompatíveis, a viscosidade da mistura pode ser significativamente inferior a de qualquer dos constituintes a baixas taxas de cisalhamento, principalmente se estes tiverem viscosidades, em maiores concentrações da fase dispersa incompatível (PA6), elevadas [13]. Este comportamento está relacionado às mudanças encontradas na morfologia, ou seja, de fase dispersa de PA6 no PP para fases co–contínuas em concentrações acima de 40% de PA6 no PP. Quando se aumenta a frequência angular todas as composições tendem a apresentar valores aproximados de viscosidade, ou seja, o tempo de relaxação das blendas torna–se inferior a duração do ensaio realizado. Para as blendas ternárias verificou–se que a viscosidade aumentou a baixas taxas de deformação (menor frequência angular), entre a fase contínua (PP) e dispersa (PA6), devido a adição dos copolímeros (PPgMA e EGMA) na blenda, favorecendo também o aumento da elasticidade resultante da recuperação da fase dispersa. O copolímero PPgAA apresentou a curva de viscosidade praticamente igual, em baixas frequências angulares, e inferior, em altas frequências angulares a blenda binária pura (PP/PA6 30) provavelmente devido a reações ácidas, provocadas pelo copolímero na PA6, que provocam a degradação e consequente redução da massa molar de PA6 na blenda [9,14].
Nas Figuras 3a a 3h, os módulos de armazenamento (G’) e de perda (G’’) do PP Puro, das blendas binárias e ternárias estão apresentadas. Para as blendas binárias PP/PA6 20 a PP/PA6 50 observamos que mudanças microestruturais podem ser observadas pelo deslocamento vertical/horizontal do crossover point (G’ = G”) e analogamente mostradas nas micrografias da Figura 4, de a) até e). Observamos que a formação das gotas e fibrilas, com posterior formação de co–continuidade, e menor peso molecular da PA6 deslocou o crossover point para maiores valores de frequência angular, G’ e G” com o aumento da concentração da fase dispersa. O deslocamento do crossover point também pode estar correlacionado com o aumento da resistência ao impacto que a PA6 induz ao ser adicionada em quantidades cada vez maiores na blenda, já que a mesma apresenta valores de absorção de energia de impacto maiores que o PP [15,13].
Nas Figuras 4a a 4h estão apresentadas as micrografias do polipropileno puro e das blendas binárias (sem compatibilizantes) e ternárias (com compatibilizantes) com aumento de 1.000 X (escala 10 μm) estão apresentadas na Figura 4a a 4h. Estas micrografias foram obtidas da superfície de fratura do PP e das blendas (corpos de prova) submetidas ao ensaio de impacto. Na Figura 4 a, como era esperado, observa–se na superfície do PP puro aspecto regular de fratura dúctil. Na Figura 4 b, para a blenda PA6 20, observam–se partículas dispersas de PA6 de vários tamanhos e, alguns vazios ou “buracos” que representam a ausência de partículas que foram arrancadas da superfície durante o ensaio de impacto. Esta morfologia evidencia a imiscibilidade existente entre os polímeros, caracterizada pela fraca adesão entre as fases, o que contribui na redução de algumas propriedades mecânicas verificadas no item anterior.

Na Figura 4c, para a blenda PA6 30, é possível observar além de partículas de PA6 dispersas em grande quantidade [16,17], a fase de PA6 deformada na forma de “fibrilas ou fitas”. As estruturas “fibrilares” podem ser responsáveis pelo aumento na resistência ao impacto das blendas apesar da fraca adesão com a matriz de PP. Conforme pode ser observado nas Figuras 4d e 4e quando a concentração de PA6 aumentou ainda mais para 40% e 50% em peso, o número de partículas dispersas na superfície parece ser menor. Uma estrutura de “fibrilas ou fitas” foi formada indicando a presença predominante de fases co–contínuas dos polímeros na blenda e, consequentemente, levando ao aumento bem superior da resistência ao impacto comparada a do PP puro. O aumento da resistência ao impacto destas blendas pode estar relacionado a uma complexa combinação de vários mecanismos, incluindo o retardamento da propagação da trinca (entalhe) pela presença destas “fibrilas ou fitas” que estão orientadas perpendicularmente ao sentido do ensaio de impacto. Observa–se para a Figura 4f a blenda ternária PA6/PPgMA que apresentou, em geral, melhores propriedades mecânicas. Visualiza–se uma superfície sem a presença de partículas e “fibrilas” em relação à composição PA6 30 em sua estrutura morfológica. Isto sugere que a mudança na morfologia influenciou as propriedades mecânicas da blenda nesta composição [18].

Visualiza–se uma superfície sem a presença de partículas e “fibrilas” em relação à composição PA6 30 em sua estrutura morfológica. Isto sugere que a mudança na morfologia influenciou as propriedades mecânicas da blenda nesta composição [18].
Na Figura 4 g observa–se PA6/PPgAA. Verifica–se uma estrutura diferente em sua superfície quando comparada com a composição PA6 30. Observam–se algumas partículas de PA6 dispersas na matriz de PP e com uma interface que indica boa adesão entre as fases. A presença do PP–g–AA elevou a rigidez da blenda a valores superiores a todas as composições estudadas. Na Figura 4 h) visualiza–se a blenda PA6/EGMA verificando–se uma superfície mais “grosseira”. A presença do EGMA na blenda ternária apresentou relativa redução nas propriedades mecânicas, quando comparada à composição PA6 30, provavelmente porque o EGMA é um polímero pouco rígido, sendo mais flexível em comparação com os outros copolímeros o que favoreceu a redução da rigidez e tenacidade da blenda em comparação com a blenda PP/PA6 30.
CONCLUSÃO
As correlações entre as propriedades mecânicas, reológicas e morfológicas de blendas de PP/PA6 não compatibilizadas e blendas PP/PA6 compatibilizadas foram investigadas. Em relação as propriedades mecânicas, a resistência ao impacto das blendas binárias aumentou consideravelmente com o aumento da concentração de PA6, devido à formação de uma morfologia “fibrilar” e de “gotas” que podem ter retardado a propagação da trinca. O comportamento em regime viscoelástico linear apresentou um deslocamento progressivo do “crossover point”. Este deslocamento pode estar correlacionado com o aumento da resistência ao impacto que a PA6 induz ao ser adicionada em quantidades cada vez maiores na blenda, já que a mesma apresenta valores de absorção de energia de impacto maiores que o PP. A morfologia “fibrilar e de “gotas” com o uso dos agentes compatibilizantes modificaram completamente a morfologia da blenda PP/PA6 30. Observamos uma melhoria na rigidez (módulo elástico) com a dispersão do PPgMA e PPgAA quando comparado a blenda PA6 30. O uso de compatibilizantes reativos, com afinidade química entre os polímeros componentes, é essencial para que a incompatibilidade possa ser atenuada. Os resultados de MEV, para as blendas ternárias, revelaram que houve mudanças significativas na morfologia dessas blendas, o que foi representado nas micrografias por uma dispersão de fases muito menores quando comparado as blendas binárias.
Agradecimentos. Os autores agradecem a UFPA, UFCG, RENAMI pelo apoio financeiro.
REFERÊNCIAS
[1] Gróf I, Durcova OG, Jambrich M, Colloid Polym Sci., 270, 28 (1992)
[2] Heino M, Hietaoja P, Seppala J, Harmia T, Friedrich K, J. Appl. Polym. Sci., 66, 2220 (1997)
[3] Ohlsson B, Hassander H, Tornell B, Polym., 39(20), 4721 (1998)
[4] Tjong SC, J Mater Sci., 32, 4617 (1997)
[5] Chiono V, Filippi S, Yordanov H, Minkova L, Magagnini P, Polym. 44(8), 2432, 2003.
[6] Filippi S, Chiono V, Polacco G, Paci M, Minkova LI, Magagnini P, Macromol Chem Phys., 203(10), 1525 (2002)
[7] Filippi S, Yordanov H, Minkova L, Polacco G, Talarico M, Macrom Mater Eng., 289(6), 523 (2004)
[8] Jiang C, Filippi S, Magagnini P, Polym., 44(8), 2422 (2003)
[9] Agrawal P, Oliveira SI, Araújo EM, Melo TJA, J Mater Sci., 42, 5012 (2007)
[10] La Mantia FP, Fontana P, Morreale M, Mistretta MC. Polym. Test., 36, 23 (2014)
[11] Chow WS, Mohd–Ishak ZA, Karger–Kocsis J, Apostolov AA, Ishiaku US, Polym., 44(24), 7440 (2003)
[12] Li D, Jia D, Zhou P, J Appl. Polym. Sci., 93(1), 427 (2004)
[13] Maia JM, Covas JÁ “Reologia de Polímeros”. En Reologia e suas aplicações industriais. Castro AGD, Covas JA, Diogo AC (eds), Lisboa (Portugal), Instituto Piaget, 2001
[14] Fiegenbaum F “Estudo Da Compatibilização Das Blendas PP/PA6 e PA6/EPR”. Dissertação de Mestrado. Porto Alegre, Rio Grande Do Sul. Universidade Federal do Rio Grande do Sul, de 2007
[15] Bretas RES, Ávila MAD “Reologia de Polímeros Fundidos”. 2ª edição. São Paulo (Brasil), Edufscar, 2005
[16] Laoutid F, Estrada E, Michell RM, Bonnaud L, Müller AJ, Dubois P, Polym., 54(15), 3993 (2013)
[17] Wang L, Shi C, Guo ZX, Yu J, J. Ind Eng Chem.,20(1), 267 (2014)
[18] Huber T, Misra M, Mohanty AK, J. Appl. Polym. Sci., 131(18), (2014)
